Job Opportunities At Durgapur Steel Plant: দুর্গাপুর স্টিল প্ল্যান্টে চাকরির সুবর্ণ সুযোগ ! আবেদন করুন সহজ পদ্ধতিতে
- Published by:Piya Banerjee
Last Updated:
Job Opportunities At Durgapur Steel Plant: আবেদন পত্র পাঠিয়ে দিতে হবে ১৪ ফেব্রুয়ারির মধ্যে।
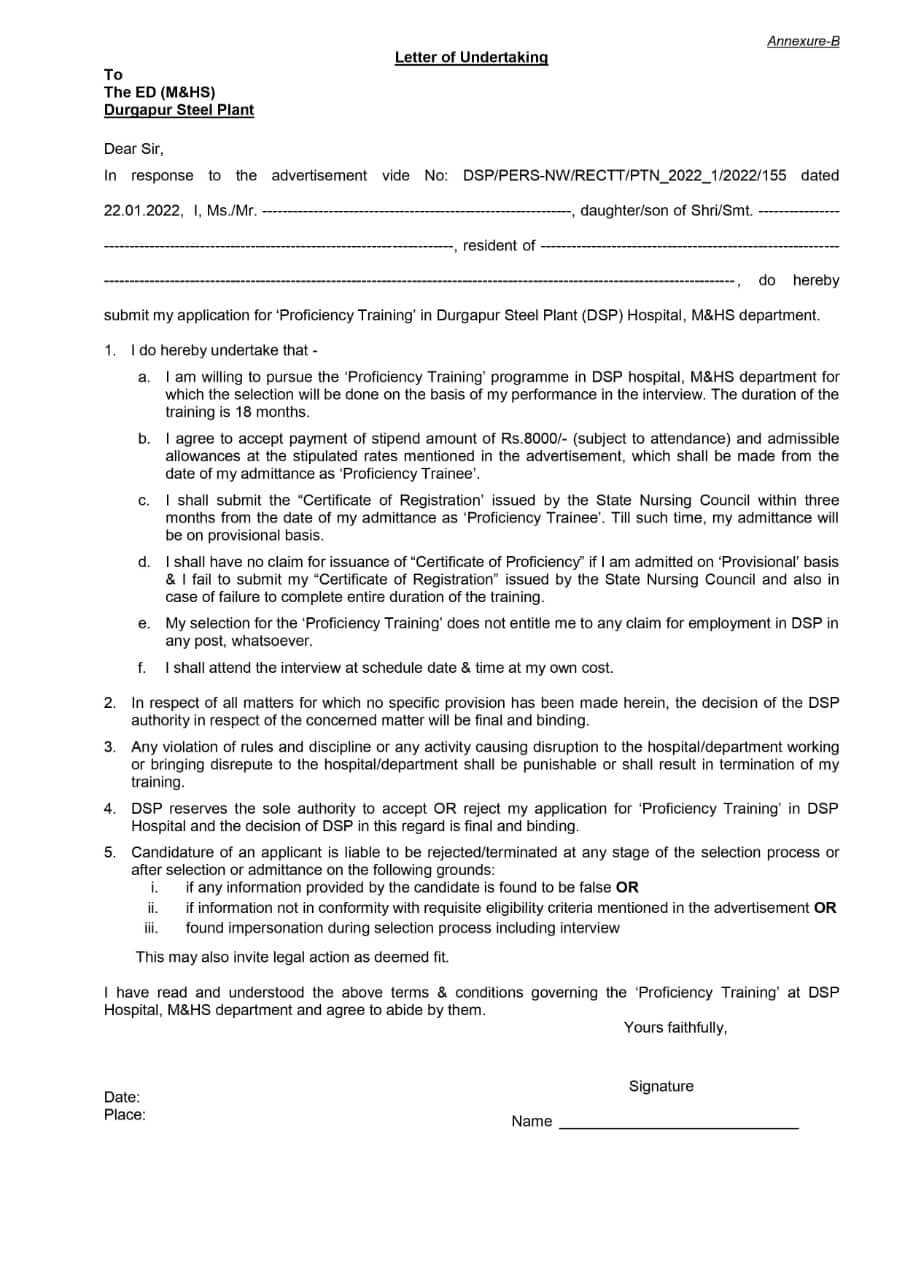
#বর্ধামান: দুর্গাপুর স্টিল প্ল্যান্টে চাকরির সুবর্ণ সুযোগ (Job Opportunities At Durgapur Steel Plant)। দুর্গাপুর স্টিল প্ল্যান্টের মেন হাসপাতালে ট্রেনি নার্সের জন্য আবেদন করতে পারেন। আপনি যদি নার্সিংয়ে স্নাতক বা নার্সিংয়ে ডিপ্লোমা করে থাকেন, তাহলে এখুনি আবেদন করতে পারেন। আইসিইউ সহ বিভিন্ন বিভাগে মোট ৭২ টি নার্স নেওয়া হবে। যদি আপনার কাছে ইন্টার্নশিপের সার্টিফিকেট থাকলে, তাও আপনার যোগ্যতার প্রমাণপত্র হিসেবে দাখিল করতে পারেন। ১৮ মাসের জন্য দুর্গাপুর স্টিল প্ল্যান্টে আপনি ট্রেনি নার্সিং পদে কর্মরত থাকতে পারবেন।আবেদনের আগে জেনে নিন চাকরির জন্য কিছু গুরুত্বপূর্ণ তথ্য।


advertisement

দুর্গাপুর ইস্পাত হাসপাতাল ট্রেনি নার্সের পদের নাম প্রোফিশিয়েন্সি ট্রেনি নার্স। আইসিইউ ছাড়াও এআইসিইউ, বিআইসিইউ, পেডিয়াট্রিক, মেডিসিন, সার্জারি, গাইনো সহ বিভিন্ন বিভাগে ট্রেনি নার্সদের কাজের সুযোগ দেওয়া হবে। এছাড়াও কোভিড ওয়ার্ডে কাজ করতে এই পদে কর্মরতদের। অনলাইনেই এই পদের জন্য আবেদন করতে পারবেন।
advertisement


আবেদনের আগে বয়সসীমাও জেনে নেওয়া জরুরি। জেনারেল কাস্টের জন্য আবেদনের বয়সসীমা সর্বোচ্চ ৩০ বছর পর্যন্ত। ওবিসিদের জন্য এই বয়স সীমা ৩৩ বছর পর্যন্ত। এসটি ও এসসিদের জন্য সর্বোচ্চ বয়স সীমার ক্ষেত্রে ছাড় দেওয়া হয়েছে আরও দু বছর। এসসি ও এসটি কাস্টের প্রার্থীরা ৩৫ বছর বয়স পর্যন্ত আবেদন করতে পারবেন। তবে এক্ষেত্রে অবশ্যই জাতি শংসাপত্র দেখাতে হবে।
advertisement


ট্রেনি নার্সদের দেওয়া হবে স্টেইপেন্ড দেওয়া হবে(Job Opportunities At Durgapur Steel Plant)। প্রতিমাসে দেওয়া হবে ৮০০০ টাকা করে। পাশাপাশি অভিজ্ঞতা বাড়তে থাকার পরিপ্রেক্ষিতে ভাতা দেওয়া হবে। প্রতিমাসে আট হাজার টাকা স্টেইপেন্ড দেওয়ার সঙ্গে যোগ হবে এই ভাতা। অভিজ্ঞতার ভিত্তিতে দেওয়া এই ভাতা দেওয়া হবে সর্বোচ্চ ৭ হাজার ২০ টাকা পর্যন্ত।
advertisement
যারা এই পদের জন্য আবেদন করতে চান, তাদের আবেদন পত্র পাঠিয়ে দেওয়া হবে ১৪ ফেব্রুয়ারির (Job Opportunities At Durgapur Steel Plant)মধ্যে। আবেদনপত্র পূরণ করে, তার একটি স্ক্যান কপি ptn@saildsp.co.in এই মেল আইডিতে পাঠিয়ে দিতে হবে।
আবেদনের ভিত্তিতে আগ্রহী ও যোগ্য প্রার্থীদের ইন্টারভিউয়ে ডাকা হবে।এই পদের জন্য আবেদন করতে হলে আপনাকে দুর্গাপুর স্টিল প্ল্যান্টের অফিসিয়াল ওয়েবসাইটে লগ ইন করতে পবে। সেখানে থেকেই আপনি ডাউনলোড করতে পারবেন আবেদন পত্রটি। আবেদনের প্রথমপত্রে আবেদনের নিয়মাবলী, বয়স, যোগ্যতা ইত্যাদি লেখা থাকবে। সেখানেই আবেদনপত্রটিও থাকবে। আবেদনপত্র পূরণ করে তা উপরোক্ত মেল আইডিতে স্ক্যান করে পাঠাতে হবে। পাশাপাশি অন্যান্য সমস্ত ডকুমেন্টের জেরক্স কিও স্ক্যান করে পাঠাতে হবে। তবে আবেদনপত্র দাখিল করার জন্য কোনও মূল্য দিতে হবে না।
advertisement
ফেব্রুয়ারি মাসের ১৫ ও ১৬ তারিখ হবে ইন্টারভিউ। আবেদনের ১৪ তারিখের মধ্যে যে সমস্ত আবেদন পত্র জমা পড়বে, সেগুলি থেকেই বাছাই করে যোগ্য প্রার্থীদের ডাকা হবে ইন্টারভিউয়ের জন্য(Job Opportunities At Durgapur Steel Plant)। ডিএসপি মেন হাসপাতালের প্রাথম তলে কনফারেন্স হলে হবে ইন্টারভিউ। দুদিন সকাল ১০ টা থেকে বকেল ৩ টে পর্যন্ত ইন্টারভিউ হবে। তাই আপনি এই পদে কাজ করার জন্য যোগ্য এবং আগ্রহী আর সময় নষ্ট না করে এখনি আবেদন করতে পারেন।
advertisement
Nayan Ghosh
Location :
First Published :
Feb 04, 2022 9:29 PM IST
বাংলা খবর/ খবর/পশ্চিম বর্ধমান/
Job Opportunities At Durgapur Steel Plant: দুর্গাপুর স্টিল প্ল্যান্টে চাকরির সুবর্ণ সুযোগ ! আবেদন করুন সহজ পদ্ধতিতে











